Question 940984: Find the equation of a circle centre on the line y=2x+1 touching the y axis and passing through A(4,5)
Answer by Alan3354(69443) (Show Source):
You can put this solution on YOUR website! Find the equation of a circle centre on the line y=2x+1 touching the y axis and passing through A(4,5)
===========
If by touching you mean tangent:
--
Its center is equidistant from (4,5) and the y-axis.
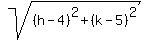
The center is (h,k)
The distance to (4,5) = 
The distance to the y-axis = h
y = 2x + 1 --> k = 2h + 1
---



Sub for k




Solved by pluggable solver: SOLVE quadratic equation (work shown, graph etc) |
Quadratic equation (in our case ) has the following solutons:

For these solutions to exist, the discriminant should not be a negative number.
First, we need to compute the discriminant : .
Discriminant d=64 is greater than zero. That means that there are two solutions: .


Quadratic expression can be factored:

Again, the answer is: 4, 2.
Here's your graph:
 |
-------------------
h = x = 4 --> center @ (4,9)

=============
x = 2 --> center @ (2,5)
|
|
|