Question 1134645: Perfect spheres of snow are used to make the base, torso, and head of a snowman. When stacked, each body part intersects any adjacent body part at only own point, and all three body parts have common lines of tangency. The diameter of the base of the snowman is 2 ft, the diameter of the torso is , and the diameter of the head is 1 ft. To the nearest .1 degree, find the angle the lines of tangency form with the ground.
Answer by greenestamps(13200) (Show Source):
You can put this solution on YOUR website!
Let A, B, and C be the centers of the spheres that are the base, torso, and head of the snowman.
Picture the three spheres enclosed in a cone; let D be the top of the cone, and let E be the center of the base of the cone (the center of the base of the snowman).
Now picture the snowman in cross section -- i.e., in two dimensions. The cone is now an isosceles triangle with vertex D; let FG be the base of that triangle (so E is the midpoint of the base FG).
Let AH be the radius of circle A to the point of tangency with side DF of the triangle; let CI be the radius of circle C to the point of tangency with DF.
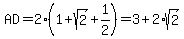
Triangles DIC and DHA are similar; CI=1/2 and AH=1; so the ratio of similarity is 1:2.
That means CD is half of AD, so AC=DC, and then AD is twice AC. But AC is the radius of A, plus the diameter of B, plus the radius of C, so

The angle we are looking to find is DFE; by similar triangles that is congruent to angle DAH. So then


which to the nearest tenth of a degree is 82.1 degrees.
|
|
|