Question 1040743: Find the equation of the circle when a triangle whose sides lie on the lines 3x+4y=-8, 3x-4y=32, and x-8=0 inscribed the circle.
Answer by Fombitz(32388) (Show Source):
You can put this solution on YOUR website! Find the intersection points.
From eq. 3,

Substituting into eq. 1,




(8,-8)
Substituting into eq. 2,




(8,-2)
Finally adding eq. 1 and eq. 2,



So,




(4,-5)
Now you have three points on the circle, solve for the circle.
Use the general form,

.
.
(8,-8):


4.
.
.
(8,-2):


5.
.
.
(4,-5):


6.
Subtracting eq. 5 from eq. 4,



Substituting into eq. 4,

7.
Substituting into eq. 6,

8.
Now subtracting eq. 8 from eq. 7,



Substituting into eq. 8,


.
.

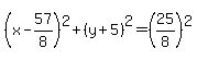
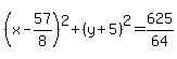
You can complete the square to get into center-radius form,





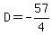
Center : ( , )
Radius : 
.
.
.
.
|
|
|