|
Question 1037736: find the perimeter of quadrilateral STUV S(-5,3) T(7,-2) U(7,-6) V(-5,-6
Found 2 solutions by Alan3354, MathTherapy: Answer by Alan3354(69443) (Show Source):
You can put this solution on YOUR website! find the perimeter of quadrilateral STUV S(-5,3) T(7,-2) U(7,-6) V(-5,-6
---------
Find the length of each side, then add them.
---
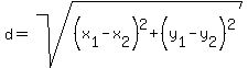
Length = sqrt(diffy^2 + diffx^2)
ST = sqrt(12^2 + 5^2) = 13
---
Find the other side lengths the same way.
It's just arithmetic.
Answer by MathTherapy(10557) (Show Source):
You can put this solution on YOUR website!
find the perimeter of quadrilateral STUV S(-5,3) T(7,-2) U(7,-6) V(-5,-6
Length of SV: 9
Length of TU: 4
Length of UV: 12
Calculate the length (distance, or d) of ST using the distance formula: 
Add all 4 lengths to get the perimeter of the quad.
|
|
|
| |