|
Question 825054: The angle from the line through (-1,y) and (4,-7) to the line through (4,2) and (-1,-9) is 135 degrees. Find y
Answer by Edwin McCravy(20065) (Show Source):
You can put this solution on YOUR website!
We will use the formula for the angle q between two lines,
tan(q) = , where q = 135° and tan(135°) = -1
First we must find the two slopes
Let m2 = the slope of the green line, and m1 = the slope of the red line
To find the slopes we use the slope formula:
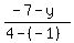
m2 =
where (x1,y1) = (-1,y)
and (x2,y2) = (4,-7)
m2 = = = = =
and
m1 =
where (x1,y1) = (4,2)
and (x2,y2) = (-1,-9)
m1 = = = =
And we substitute in the formula for the angle between two
lines:
tan(q) =
tan(135°) =
-1 =
Multiply both sides by the denominator on the right:
 =
=
Multiply through by 25
-25+(77+11y) = 55+5(7+y)
-25+77+11y = 55+35+5y
52+11y = 90+5y
6y = 38
y =
y =
Edwin
|
|
|
| |