SOLUTION: the endpoints of RS are R(-2,-1) and S(2,3). find the coordinates of the midpoint of RS. then find the distance between R and S

Algebra ->  Points-lines-and-rays -> SOLUTION: the endpoints of RS are R(-2,-1) and S(2,3). find the coordinates of the midpoint of RS. then find the distance between R and S      Log On


   



Question 776681: the endpoints of RS are R(-2,-1) and S(2,3). find the coordinates of the midpoint of RS. then find the distance between R and S
Answer by josmiceli(19441) About Me  (Show Source):
You can put this solution on YOUR website!
First find the SUM of the x-coordinates
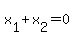
+x%5B1%5D+%2B+x%5B2%5D+=+-2+%2B+2+
+x%5B1%5D+%2B+x%5B2%5D+=+0+
The x-coordinate of the midpoint is:
+%28+x%5B1%5D+%2B+x%5B2%5D+%29+%2F+2+=+0%2F2+
+0%2F2+=+0+
-----------
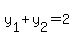
+y%5B1%5D+%2B+y%5B2%5D+=+-1+%2B+3+
+y%5B1%5D+%2B+y%5B2%5D+=+2+
+%28+y%5B1%5D+%2B+y%5B2%5D+%29+%2F+2+=+2%2F2+
+2%2F2+=+1+
The midpoint is at ( 0,1 )
---------------------
Use the distance formula
+d+=+sqrt%28+%28+2-%28-2%29+%29%5E2+%2B+%28+3+-%28-1%29+%29%5E2+%29+%29+
+d+=+sqrt%28++4%5E2+%2B+4%5E2+%29+
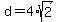
+d+=+sqrt%28+32+%29+
+d+=+4%2Asqrt%28+2+%29+