SOLUTION: what is the answer to 12a-175=0
Algebra
->
Points-lines-and-rays
-> SOLUTION: what is the answer to 12a-175=0
Log On
Geometry: Points, lines, angles, perimeter
Geometry
Solvers
Solvers
Lessons
Lessons
Answers archive
Answers
Click here to see ALL problems on Points-lines-and-rays
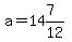
Question 536749
:
what is the answer to 12a-175=0
Answer by
Maths68(1474)
(
Show Source
):
You can
put this solution on YOUR website!