SOLUTION: Given points A(1,3)and B(4,-1) An equation of a line that is parallel to line AB and has y-intercept -3 is

Algebra ->  Points-lines-and-rays -> SOLUTION: Given points A(1,3)and B(4,-1) An equation of a line that is parallel to line AB and has y-intercept -3 is      Log On


   



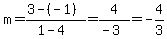
Question 1089407: Given points A(1,3)and B(4,-1)
An equation of a line that is parallel to line AB and has y-intercept -3 is

Answer by josgarithmetic(39630) About Me  (Show Source):