SOLUTION: HIJK and STUV are similar. The area of HIJK is (2x+9). The area of STUV is (2x-6). The perimeter of HIJK is (x+3). The perimeter of STUV is(x-1). Find the value of x.

Algebra ->  Points-lines-and-rays -> SOLUTION: HIJK and STUV are similar. The area of HIJK is (2x+9). The area of STUV is (2x-6). The perimeter of HIJK is (x+3). The perimeter of STUV is(x-1). Find the value of x.      Log On


   



Question 1076669: HIJK and STUV are similar. The area of HIJK is (2x+9). The area of STUV is (2x-6). The perimeter of HIJK is (x+3). The perimeter of STUV is(x-1). Find the value of x.
Found 3 solutions by josgarithmetic, ikleyn, MathTherapy:
Answer by josgarithmetic(39630) About Me  (Show Source):
You can put this solution on YOUR website!
HIJK is the larger figure, and STUV is the smaller figure.

Ratio of their linear measures (for larger to smaller) is %28x%2B3%29%2F%28x-1%29.
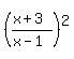
Ratio of their AREAS IS %28%28x%2B3%29%2F%28x-1%29%29%5E2.

That means, if this ratio is R,
A%5Bs%5D%2AR=A%5BL%5D

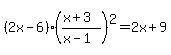
%282x-6%29%2AR=2x%2B9

%282x-6%29%28%28x%2B3%29%2F%28x-1%29%29%5E2=2x%2B9

.
.
x%5E2-12x-63=0
.
.
highlight%28x=6%2B3sqrt%2811%29%29




-
(arithmetic steps & solution redone)

Answer by ikleyn(52908) About Me  (Show Source):
You can put this solution on YOUR website!
.
The equation is 

%28%28x%2B3%29%2F%28x-1%29%29%5E2 = %282x%2B9%29%2F%282x-6%29.     (1)


The solution by "josgarithmetic" is highlight%28WRONG%29.




Plots y = %28%28x%2B3%29%2F%28x-1%29%29%5E2 (red) and y = (2x+9)/(2x-6) green)

To solve (1), cross-multiply and simplify.

You will get the quadratic equation 

x%5E2+-+2x+-+63 = 0.


It has the solution  x%5B1%2C2%5D = %282+%2B-+sqrt%284%2B4%2A63%29%29%2F2 = %282+%2B-+16%29%2F2


The only positive solution for x (which works) is  x = %282+%2B%0D%0A+16%29%2F2 = 9.


Answer by MathTherapy(10557) About Me  (Show Source):
You can put this solution on YOUR website!

HIJK and STUV are similar. The area of HIJK is (2x+9). The area of STUV is (2x-6). The perimeter of HIJK is (x+3). The perimeter of STUV is(x-1). Find the value of x.

OR


----- Cross-multiplying




matrix%281%2C3%2C+x%5E2+-+2x+-+63%2C+%22=%22%2C+0%29
(x - 9)(x + 7) = 0