|
Question 1038606: In a Reflection,the image of the line y-2x=3 is the line 2y-x=9.Then What Is The Line Of Reflection?
Found 2 solutions by solver91311, KMST: Answer by solver91311(24713) (Show Source): Answer by KMST(5328) (Show Source):
You can put this solution on YOUR website! ONE WAY TO THE ANSWER:
The slope of <---> is .
The slope of <---> <---> is .
That means the two lines intersect at some point .

That intersection point is part of the Line of Reflection, and
the Line of Reflection is the bisector of the angle formed by the two lines:
Since the slopes of the lines are reciprocals of each other,
the slope of the bisector of that angle is .
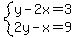
We can find the coordinates of by solving the system formed by the two equations:
---> .
So the lines intersect at point ,
Based on the coordinates of that point,
the equation of the Line of Reflection in point-slope form is
<---> .
In slope-intercept form, the equation of the Line of Reflection is
<---> .

NOTES:
Is that the way, you were expected to get to the answer?
Are you expected to name other concepts like "translation", "reflection", "vectors", "matrices" to "show your work"?
Was a different way to the solution expected?
Not convinced that the slope of the Line of Reflection is ?
Here is a concrete example, showing why the slope of the Line of Reflection is .
If the two lines formed the legs of an isosceles triangle ,
altitude of that triangle would be part of the bisector of angle ,
which is the Line of Reflection we are looking for.
, and is the midpoint of .
How can we find a pair of points and to make such an isosceles triangle?
Since the slope of is ,
we get the coordinates of another point on line 
by adding to the coordinates of (1,2), or (2,4), or (3,6), etc.
Let us say that adding (2,4) to the coordinates of , we get point ,
at a distance from the .
Likewise, since the slope of is adding (4,2) to the coordinates of ,
we get point on line ,
at the same distance from .
To get the coordinates of midpoint ,
we average the coordinates of and ,
So to get to from , we add
"rise" to , and
"run" to .
Since the"rise" and "run" changes in x- and y-coordinates are the same,
the slope of the Line of Reflection is .
|
|
|
| |