SOLUTION: A line passes through point (2,2). Find the equation of the line if the length of the line segment intercepted by the coordinate's axes is the square root of 5. I'm having a tro

Algebra ->  Points-lines-and-rays -> SOLUTION: A line passes through point (2,2). Find the equation of the line if the length of the line segment intercepted by the coordinate's axes is the square root of 5. I'm having a tro      Log On


   



Question 1031166: A line passes through point (2,2). Find the equation of the line if the length of the line segment intercepted by the coordinate's axes is the square root of 5.
I'm having a trouble in solving this problem. The answer should be 2x-y-2=0.

Found 2 solutions by josgarithmetic, DarkArrow29:
Answer by josgarithmetic(39618) About Me  (Show Source):
You can put this solution on YOUR website!
One can start with coordinate geometry with the hypotenuse segment in quadrant 1, and find the triangle figure to be composed of a 2 by 2 square unit SQUARE figure and two right triangle. These three parts form the main larger triangle.

The upper left triangle will have leg lengths 2 and y, and hypotenuse assigned h_sub_1; the triangle on the right will have leg lengths x and 2, and hypotenuse assigned h_sub_2.

A list of equations can be found from the figure - you need to draw it or see it.


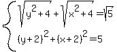
Two formulas will come from that list, being radical forms for h_sub_1 and h_sub_2, leading to this simpler system of equations.

--------This should be the system to work with to solve for x and y; but you must understand that these x and y are to be values to ADD to the 2 and the other 2 for the drawing if imagined NOT on a cartesian grid system.

I have not solved further than this last listed system. Yet, two equations in two unknowns.

Answer by DarkArrow29(1) About Me  (Show Source):
You can put this solution on YOUR website!
sqrt%285%29=sqrt%28%28a-0%29%5E2%2B%280-b%29%5E2%29
5=a%5E2%2Bb%5E2 ──Equation A

y=mx%2Bb
y=%28-b%2Fa%29x%2Bb ──Equation B
y=%28-b%29%28%28x%2Fa%29%2B1%29
b=ay%2F%28a-x%29 ──Equation C

Use:
5=a%5E2%2B%28ay%2F%28a-x%29%29%5E2
Then substitute: (2,2)
We get a=1 then substitute a to Equation C to find b=-2
Use y=mx%2Bb to find the answer by substituting a=1 and b=-2 to Equation B.


The answer is 2x-y-2=0