SOLUTION: Find the perimeter of the triangle whose vertices are the following specified points on the plane (-1,7)(-9,9)and (8,1)

Algebra ->  Points-lines-and-rays -> SOLUTION: Find the perimeter of the triangle whose vertices are the following specified points on the plane (-1,7)(-9,9)and (8,1)      Log On


   



Question 1023905: Find the perimeter of the triangle whose vertices are the following specified points on the plane (-1,7)(-9,9)and (8,1)
Answer by ewatrrr(24785) About Me  (Show Source):
You can put this solution on YOUR website!

Hi
D = +sqrt+%28+%28x%5B1%5D-x%5B2%5D%29%5E2%2B+%28y%5B1%5D-y%5B2%5D%29%5E2+%29+
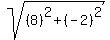
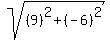
(-1,7)
(-9,9) D = +sqrt+%28+%288%29%5E2%2B+%28-2%29%5E2+%29+
(8,1) D = +sqrt+%28+%28-17%29%5E2%2B+%288%29%5E2+%29+
(-1,7) D = +sqrt+%28+%289%29%5E2%2B+%28-6%29%5E2+%29+
Do the Calculations on Your calculator