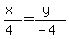
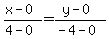
SOLUTION: Indicate in standard form the equation of the line passing through the given points.
B(0, 0), C(4, -4)
Algebra ->
Points-lines-and-rays
-> SOLUTION: Indicate in standard form the equation of the line passing through the given points.
B(0, 0), C(4, -4)
Log On