|
Question 1022551: Hello, could you help me with this problem: Points A (2,3), B (- 2, 5), and C(4,-1) all lie on circle O with center (h,k). Find the equation of circle O.
Answer by josgarithmetic(39620) (Show Source):
You can put this solution on YOUR website! The three points A, B, C, also form three chords of the circle. The perpendicular bisectors will intersect in the center of the circle. The distance from the center to any of point A, B, or C will be the size of the center, r. Use the Distance Formula.
Find those and you can fill in the standard form circle's equation .
---
Some of the work toward the solution:
Perpendicular Bisector Line to A and B
;
Through midpoint or the point (0,4);
.
Perpendicular Bisector Line to B and C
;
Through midpoint or the point (1,2);


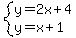
Center point (h,k) is the intersection or solution of the system .
-
MORE----------------------
-




-



-
Center of circle (h,k) is (-3,-2).
|
|
|
| |