SOLUTION: how do you find the perimeter of a shaded region of a circle
the shaded region is 140 degrees
the area of the shaded region is 126π
Algebra ->
Circles
-> SOLUTION: how do you find the perimeter of a shaded region of a circle
the shaded region is 140 degrees
the area of the shaded region is 126π
Log On
Question 979530: how do you find the perimeter of a shaded region of a circle
the shaded region is 140 degrees
the area of the shaded region is 126π Found 4 solutions by josgarithmetic, Edwin McCravy, josmiceli, AnlytcPhil:Answer by josgarithmetic(39669) (Show Source):
You can put this solution on YOUR website! If you can find the radius, then
the problem is solved, since
Circumference =
--------------------------
The whole circle is degrees of arc
Let = the area of the whole circle
I can say:
I know that: ,so
and
-----------------
The perimeter of the shaded rgion is: answer
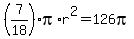
The whole figure is a sector of a circle. The area of a sector of a circle
is given by the formula:
where q is in radians.
We convert q = 140° to radians:
Multiply both sides by 18
Divide both sides by 7p
The length of the arc is found by the formula
where q is in radians.
The perimeter is made up of two radii and the arc at the top:
Perimeter =
Edwin