SOLUTION: a conical funnel 12cm deep and 15cm in diameter is full of liquid.it is emptied into a cylindrical tin 10cm in diameter.find the height of the liquid in the tin

Algebra ->  Circles -> SOLUTION: a conical funnel 12cm deep and 15cm in diameter is full of liquid.it is emptied into a cylindrical tin 10cm in diameter.find the height of the liquid in the tin      Log On


   



Question 971866: a conical funnel 12cm deep and 15cm in diameter is full of liquid.it is emptied into a cylindrical tin 10cm in diameter.find the height of the liquid in the tin
Answer by anand429(138) About Me  (Show Source):
You can put this solution on YOUR website!
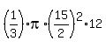
Volume of liquid = volume of cone
=%281%2F3%29%2Api%2Ar%5E2%2Ah (where symbols have usual meanings)
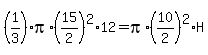
=%281%2F3%29pi%2A%2815%2F2%29%5E2%2A12
Now volume occupied by this liquid in cylindrical tin is given by
pi%2AR%5E2%2AH
=pi%2A%2810%2F2%29%5E2%2AH
Equating both the volumes,
%281%2F3%29pi%2A%2815%2F2%29%5E2%2A12+=+pi%2A%2810%2F2%29%5E2%2AH
=> H=9cms.