SOLUTION: If variable point (x, y) satisfies the equation x2 + y2 – 8x – 6y + 9 = 0, then range of y/x is
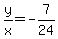
answers is [-7/24 , infinity)
Algebra ->
Circles
-> SOLUTION: If variable point (x, y) satisfies the equation x2 + y2 – 8x – 6y + 9 = 0, then range of y/x is
answers is [-7/24 , infinity)
Log On
You can put this solution on YOUR website!
Now you can look at the values of
Since Z is now the function of only one variable, take the derivative and set it equal to zero to find the maximum value.
We'll do it in two parts because of the plus/minus value. has a minimum of when . has a minimum of when .
There is no maximum so the range of is [,)