SOLUTION: A circle is circumscribing a triangle formed by the lines y=0, y=x and 2x+3y=10. Find the equation of the circle

Algebra ->  Circles -> SOLUTION: A circle is circumscribing a triangle formed by the lines y=0, y=x and 2x+3y=10. Find the equation of the circle      Log On


   



Question 925600: A circle is circumscribing a triangle formed by the lines y=0, y=x and 2x+3y=10. Find the equation of the circle
Answer by KMST(5328) About Me  (Show Source):
You can put this solution on YOUR website!
The lines intersect at O(0,0), A(2,0), and B(0,10/3).
Those are the vertices of triangle ABO.
The center of the circle circumscribing ABO is the intersection point of the perpendicular bisectices of the sides.
The bisectrix of horizontal side OA is the vertical line x=5/2, which passes through (0,5/2), the midpoint of OA.
The bisectrix of vertical side OB is horizontal line y=5/3, which goes through (0,5/3),the midpoint of OB.
Those bisectrices intersect at (5/2,5/3) , and that is the center of the circle.
The radius R is the distance from the center to each vertex.
Using vertex O, that distance squared is
.
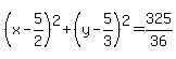
So, the equation if the circle is
%28x-5%2F2%29%5E2%2B%28y-5%2F3%29%5E2=325%2F36