PLEASE HELP ME. FIND THE EQUATION OF A CIRCLE PASSING THROUGH
AND TANGENT TO THE LINES
AND
.
Draw the two lines and the point (3,7)
Those two lines intersect at (1,3).
Visually, it appears that there are two solutions:
Let's just look at one of them to keep things simple.
Suppose the center of the circle is (h,k)
The two green and the one red lines are radii of the desired
circle. The two green radii represent the perpendicular (shortest)
distances from (h,k) to each of the two lines.
The formula for the perpendicular distance from the point
(x1,y1)
to the line Ax+y+C=0 is
d =
The lines are 1x-3y+8=0 and 3x-1y+0=0
So for the first line A=1, B=-3, C=8
For the second line A=3, B=-1, C=0
(x1,y1) = (h,k)
=
=
=
Multiplying through by
|h-3k+8| = |3h-k|
There are two possibilities for that:
h-3k+8 = 3h-k and h-3k+8 = -(3h-k)
-2k = 2h-8 h-3k+8 = -3h+k
k = -h+4 -4k = -4h-8
k = 4-h k = h+2
Looking at the graph we can tell that
the first one cannot be correct. because
k=4-h would be saying that the sum of
coordinates of (h,k), k+h = 4. The point
(h,k) is even further to the right and
higher than (1,3) where the two lines
intersect. (1,3) has sum of coordinates
4, so the sum of coordinates h and k has
to be more than 4. Therefore
k = h+2.
Now we equate the red radius to one of the
green radii. We use the distance formula between
two points for the red radius:
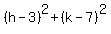
d = √(x2-x1)²+(y2-y1)²
=
Squaring both sides we have:
=
Multiplying both sides by 10
(3h-k)² = 10[(h-3)² + (k-7)²]
Substituting k = h+2 from above:
[3h-(h+2)]² = 10[(h-3)² + ((h+2)-7)²]
[3h-h-2]² = 10[(h-3)² + (h+2-7)²]
(2h-2)² = 10[(h-3)² + (h-5)²]
4h²-8h+4 = 10[h²-6h+9 + h²-10h+25]
4h²-8h+4 = 10(2h²-16h+34)
Divide both sides by 2
2h²-4h+2 = 5(2h²-16h+34)
2h²-4h+2 = 10h²-80h+170
-8h²+76h-168 = 0
Divide through by -4
2h²-19h+42 = 0
(2h-7)(h-6) = 0
2h-7 = 0; h-6 = 0
2h = 7; h = 6
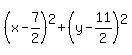
h =
;
When h=
, k = h+2 =
+2 =
=
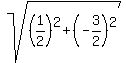
And the red radius =
=
=
=
=
=
=
So the equation of one circle is
(x-h)²+(y-k)² = r²






That's one solution.
When h=6, k = h+2 = 6+2 = 8
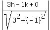
And the red radius =
=
=
=
=
So the equation of the other circle is
(x-h)²+(y-k)² = r²


That's the other solution.
Edwin