SOLUTION: I need tutor online Sketch 4x^2+4y^2=4y-8x-5

Algebra ->  Circles -> SOLUTION: I need tutor online Sketch 4x^2+4y^2=4y-8x-5      Log On


   



Question 771658: I need tutor online
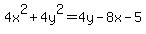
Sketch 4x^2+4y^2=4y-8x-5

Answer by reviewermath(1029) About Me  (Show Source):
You can put this solution on YOUR website!
Q:
Sketch 4x%5E2%2B4y%5E2=4y-8x-5
------------------------------------------------------------------------
A:
%284x%5E2+%2B+8x%29+%2B+%284y%5E2+-+4y%29+=+-5
4%28x%5E2+%2B+2x%29+%2B+4%28y%5E2+-+y%29+=+-5
4%28x%5E2+%2B+2x+%2B+1%29+%2B+4%28y%5E2+-+y+%2B+1%2F4%29+=+-5+%2B+4+%2B+1
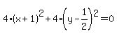
4%28x+%2B+1%29%5E2+%2B+4%28y+-+1%2F2%29%5E2+=+0
%28x%2B1%29%5E2+%2B+%28y-1%2F2%29%5E2+=+0
Therefore, the graph is point (-1,1/2).
If you have further question email me reviewermath@yahoo.com