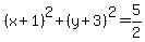
SOLUTION: Write an equation of a circle that has a center (-1,-3) and is tangent to the line 3x+y= -1
Algebra
->
Circles
-> SOLUTION: Write an equation of a circle that has a center (-1,-3) and is tangent to the line 3x+y= -1
Log On
Geometry: Circles and their properties
Geometry
Solvers
Solvers
Lessons
Lessons
Answers archive
Answers
Click here to see ALL problems on Circles
Question 753011
:
Write an equation of a circle that has a center (-1,-3) and is tangent to the line 3x+y= -1
Answer by
tommyt3rd(5050)
(
Show Source
):
You can
put this solution on YOUR website!
L: 3x+y+1=0 and P: (-1,-3)
The perpendicular distance from L to P is to be the radius:
From the equation of a circle:
:)