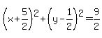
SOLUTION: x^2+y^2+5x-y+2=0
Algebra
->
Circles
-> SOLUTION: x^2+y^2+5x-y+2=0
Log On
Geometry: Circles and their properties
Geometry
Solvers
Solvers
Lessons
Lessons
Answers archive
Answers
Click here to see ALL problems on Circles
Question 747500
:
x^2+y^2+5x-y+2=0
Answer by
tommyt3rd(5050)
(
Show Source
):
You can
put this solution on YOUR website!