SOLUTION: A circle is inscribed in an equilateral triangle. If the circumference of the circle is 3.85 cm, calculate in cm, the perimeter of the triangle.

Algebra ->  Circles -> SOLUTION: A circle is inscribed in an equilateral triangle. If the circumference of the circle is 3.85 cm, calculate in cm, the perimeter of the triangle.      Log On


   



Question 717989: A circle is inscribed in an equilateral triangle. If the circumference of the circle is 3.85 cm, calculate in cm, the perimeter of the triangle.
Answer by josgarithmetic(39620) About Me  (Show Source):
You can put this solution on YOUR website!
Realize, a 30-60-90 triangle is half of another equilateral triangle.

Use the circle's circumference to get it radius. The distance from the center of the circle to a midpoint of one of the sides of the triangle is a radius length and is one leg of a 30-60-90 triangle; the hypotenuse of this 30-60-90 triangle is TWICE the radius length.
Now, one half the length of the circumscribed equilateral triangle is the other leg of the 30-60-90 triangle. Use pythagorean theorem to find it and so if you multiply it by 2, you have the length of a side of the circumscribed equilateral triangle.

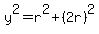
Back a little, you get radius r; you then have 2r, and 2r is hypotenuse of a 30 60 90 triangle. If y is hyptonuse for the 30 60 90 then y%5E2=r%5E2%2B%282r%29%5E2. Find y.
6y is the perimeter you want.