SOLUTION: A circle of radius 25 units has a chord going through a point that is located 10 units from the center. What is the shortest possible length that the chord could have? A)25 unit

Algebra ->  Circles -> SOLUTION: A circle of radius 25 units has a chord going through a point that is located 10 units from the center. What is the shortest possible length that the chord could have? A)25 unit      Log On


   



Question 498857: A circle of radius 25 units has a chord going through a point that is located 10 units from the center. What is the shortest possible length that the chord could have?
A)25 units
B)(sqrt of 525) units
C)40 units
D)(sqrt of 2100) units

Answer by htmentor(1343) About Me  (Show Source):
You can put this solution on YOUR website!
A circle of radius 25 units has a chord going through a point that is located 10 units from the center. What is the shortest possible length that the chord could have?
========================================
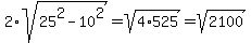
Using the Pythagorean theorem, the chord length for a circle of radius r and
perpendicular distance, d, from the chord to the center of the circle is:
2%2Asqrt%28r%5E2+-+d%5E2%29
Using the values for d and r, we have
chord length = 2%2Asqrt%2825%5E2-10%5E2%29+=+sqrt%284%2A525%29+=+sqrt%282100%29
Ans: D