SOLUTION: The circles are concentric. The inner circle is shaded. The cord is tangent to the inner circle and has length 12. What is the area of the non-shaded region?

Algebra ->  Circles -> SOLUTION: The circles are concentric. The inner circle is shaded. The cord is tangent to the inner circle and has length 12. What is the area of the non-shaded region?      Log On


   



Question 452537: The circles are concentric. The inner circle is shaded. The cord is tangent to the inner circle and has length 12. What is the area of the non-shaded region?
Found 2 solutions by MathLover1, pedjajov:
Answer by MathLover1(20850) About Me  (Show Source):
You can put this solution on YOUR website!

all you can do is state that:
Area of non shaded region = area of bigger circle - area of smaller circle. The cord is irrelevant in this case.

Answer by pedjajov(51) About Me  (Show Source):
You can put this solution on YOUR website!
When you draw a picture you get that tangent touches inner circle and intersects with the outer circle.
:
Area of non shaded area is a difference between areas of outer and inner circle.
If radius of inner circle is r1 and radius of outer circle is r2 we have:
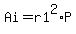
Ai=r1%5E2%2AP, where P is Pi.
Ao=r2%5E2%2AP
:
So non shaded are is:
A=Ao-Ai=%28r2%5E2-r1%5E2%29%2AP
We have three points:
- point C for center of the circle(s)
- point A where tangent touches inner circle
- point B where tangent intersects outer circle
:
These three points connected form right triangle with legs CA and AB and hypotenuse CB.
:
Leg CA is radius for inner circle r1.
Hypotenuse CB is radius for outer circle r2.
:Point A also divides tangent exactly at half so AB is 6.
:
Now we can form Pythagorean theorem for this triangle as:
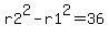
r1%5E2%2B6%5E2=r2%5E2
r2%5E2-r1%5E2=36
:
If we replace this into formula for area A we have
A=36%2AP