SOLUTION: Draw a circle with a diameter of 7 cm and a point,P, 10cm from the centre of this circle. Complete the diagram by adding the two tangents to the circle from the point P. Label the

Algebra ->  Circles -> SOLUTION: Draw a circle with a diameter of 7 cm and a point,P, 10cm from the centre of this circle. Complete the diagram by adding the two tangents to the circle from the point P. Label the       Log On


   



Question 388149: Draw a circle with a diameter of 7 cm and a point,P, 10cm from the centre of this circle. Complete the diagram by adding the two tangents to the circle from the point P. Label the points of the tangency A and B) Provide sufficient additional information to determine the lengths of PA and PB.
Found 2 solutions by Edwin McCravy, robertb:
Answer by Edwin McCravy(20086) About Me  (Show Source):
You can put this solution on YOUR website!

Let the center of the circle be O.


Draw in a radius to one of the points of tangency.  I'll draw OA.



OA is perpendicular to AP because a radius drawn to the point
of tangency is perpendicular to the tangent line.

Therefore triangle OAP is a right triangle. Therefore we can use 
the Pythagorean theorem:

OA%5E2%2BAP%5E2=OP%5E2
7%5E2%2BAP%5E2=10%5E2
49%2BAP%5E2=100
AP%5E2=51
AP=sqrt%2851%29

BP is also sqrt%2851%29

Edwin

Answer by robertb(5830) About Me  (Show Source):
You can put this solution on YOUR website!

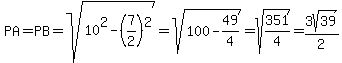
Diameter = 7 cm-----> radius = 7/2 cm. The angles at the points of tangency are both right angles, so we can apply the Pythagorean Theorem with OP as the hypotenuse:
cm.