SOLUTION: Hi, I have to find the standard form of a circle with center (6, -3) and diameter {{{20sqrt(2)}}}. Since the standard form of a circle is: {{{(x - h)^2 + (y - k)^2 = r^2}}}

Algebra ->  Circles -> SOLUTION: Hi, I have to find the standard form of a circle with center (6, -3) and diameter {{{20sqrt(2)}}}. Since the standard form of a circle is: {{{(x - h)^2 + (y - k)^2 = r^2}}}       Log On


   



Question 370517: Hi, I have to find the standard form of a circle with center (6, -3) and diameter 20sqrt%282%29.
Since the standard form of a circle is:
%28x+-+h%29%5E2+%2B+%28y+-+k%29%5E2+=+r%5E2
and diameter = r%5E2,
%28x+-+6%29%5E2+%2B+%28y+%2B+3%29%5E2+=+20sqrt%282%29
I am getting this wrong and no clue why :(
Thanks for your help!

Answer by jim_thompson5910(35256) About Me  (Show Source):
You can put this solution on YOUR website!
The left side is correct. The right side is where you're going wrong. Note: the diameter is 2r and NOT r%5E2


Since the diameter is d=20sqrt%282%29, this means that the radius is half of this at r=d%2F2=20sqrt%282%29%2F2=10sqrt%282%29


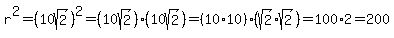
So r=10sqrt%282%29


Now square 'r' to get


So r%5E2=200


This means that the equation of the circle is %28x-6%29%5E2%2B%28y%2B3%29%5E2=200


If you need more help, email me at jim_thompson5910@hotmail.com

Also, feel free to check out my tutoring website

Jim