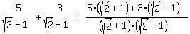
SOLUTION: Simplify: 5/square2-1 + 3/square2+1
Algebra
->
Circles
-> SOLUTION: Simplify: 5/square2-1 + 3/square2+1
Log On
Geometry: Circles and their properties
Geometry
Solvers
Solvers
Lessons
Lessons
Answers archive
Answers
Click here to see ALL problems on Circles
Question 366507
:
Simplify:
5/square2-1 + 3/square2+1
Answer by
Fombitz(32388)
(
Show Source
):
You can
put this solution on YOUR website!