Question 295471: A, B and C are points on circle O such that triangle ABC is equilateral. If the radius of the circle is 6, what is the perimeter of triangle ABC?
Answer by alicealc(293) (Show Source):
You can put this solution on YOUR website! let the side of the triangle = x
AB = BC = CA = x
because the triangle ABC is equilateral, the length of AO = BO = CO = the radius of the circle = 6
draw a line from point A, through O, perpendicular to BC, and let it be named point D
because O is the weight center of the triangle,
AO = 2/3 * AD
6 = 2/3 * AD
6 * 3/2 = AD
18/2 = AD
9 = AD
D is the midpoint of BC because in equilateral triangle, the line that is drawn from one point perpendicular to the line in front of the point will split the line into the same two parts
because D is the midpoint of BC, so DB = DC = 1/2 * x
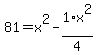
because the ADB triangle is a right angle triangle, we can use Phytagoras formula:












so the perimeter of triangle ABC =
or in the shorter way, the length of AB can be found by using cosine rule:

because triangle ABC is an equilateral triangle, the angle of AOB = BOC = COA = 360/3 = 120 degrees
so:







so the perimeter of triangle ABC = AB + BC + AC = 
|
|
|