SOLUTION: Find the Center and radius of the circle whose equation is: x^2+8x+y^2+1y-2=0 I can't seem to get the correct radius although I can get the center. Your help would be most ap

Algebra ->  Circles -> SOLUTION: Find the Center and radius of the circle whose equation is: x^2+8x+y^2+1y-2=0 I can't seem to get the correct radius although I can get the center. Your help would be most ap      Log On


   



Question 287379: Find the Center and radius of the circle whose equation is:
x^2+8x+y^2+1y-2=0
I can't seem to get the correct radius although I can get the center. Your help would be most appreciated.

Answer by Fombitz(32388) About Me  (Show Source):
You can put this solution on YOUR website!
Complete the square in x and y.
x%5E2%2B8x%2By%5E2%2B1y-2=0
%28x%5E2%2B8x%29%2B%28y%5E2%2By%29=2
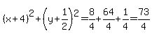
%28x%5E2%2B8x%2B16%29%2B%28y%5E2%2By%2B1%2F4%29=2%2B16%2B1%2F4%0D%0A
%28x%2B4%29%5E2%2B%28y%2B1%2F2%29%5E2=8%2F4%2B64%2F4%2B1%2F4=73%2F4
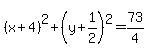
%28x%2B4%29%5E2%2B%28y%2B1%2F2%29%5E2=73%2F4
Compare to the general equation for a circle centered at (h,k) with a radius R:
%28x-h%29%5E2%2B%28y-k%29%5E2=R%5E2
h=-4
k=-1%2F2
R=sqrt%2873%29%2F2