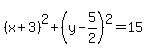
You can put this solution on YOUR website! You want to get your equation into the standard form for a circle with center at (h, k) and radius r. It will look like this:
To do this, you must:
1) Complete the square in the x-terms.
2) Complete the square in the y-terms.
3) Factor the resulting x-trinomial.
4) Factor the resulting y-trinomial.
5) Simplify, if necessary, into the standard form.
Complete the squares by adding the square of half the coefficient of x/y to both sides. Factor the x and the y trinomials and simplify the right side of the equation. Compare this with the standard form.
The center of the circle is at (-3, 5/2) and the radius is