SOLUTION: Find the center and radius of the circle (x-5)2 + y2 + 2y=7
Algebra
->
Circles
-> SOLUTION: Find the center and radius of the circle (x-5)2 + y2 + 2y=7
Log On
Geometry: Circles and their properties
Geometry
Solvers
Solvers
Lessons
Lessons
Answers archive
Answers
Click here to see ALL problems on Circles
Question 148286
:
Find the center and radius of the circle (x-5)2 + y2 + 2y=7
Answer by
Alan3354(69443)
(
Show Source
):
You can
put this solution on YOUR website!
Find the center and radius of the circle (x-5)2 + y2 + 2y=7
Put in the form
x is ok as it is.
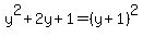
Complete the square for y
, so add 1 to both sides:
The center is at (a,b), or (5,-1) and the radius is
.