SOLUTION: <a href="http://tinypic.com" target="_blank"><img src="http://i25.tinypic.com/2ue4aq9.jpg" border="0" alt="Image and video hosting by TinyPic"></a> Find the area of the shaded por

Algebra ->  Circles -> SOLUTION: <a href="http://tinypic.com" target="_blank"><img src="http://i25.tinypic.com/2ue4aq9.jpg" border="0" alt="Image and video hosting by TinyPic"></a> Find the area of the shaded por      Log On


   



Question 133356: Image and video hosting by TinyPic
Find the area of the shaded portion in terms of X.
The 2 circles are semi circles because my drawing isn't that well.
I know you have to subtract the area of the semi-circles from the area of the square. Please help with the rest! (:

Answer by jim_thompson5910(35256) About Me  (Show Source):
You can put this solution on YOUR website!
Is the length of the red line 2x units? If it is, then this means that half of the length is 2x%2F2=x. This also means that the radius of one of these circles is x


Now let's use the area of a circle formula A=pi%2Ar%5E2


A=pi%2Ax%5E2 Plug in r=x


Now divide this by 2 (since we're dealing with a semicircle)


A=%28pi%2Ax%5E2%29%2F2


Multiply this answer by 2 (there are 2 semicircles)


A=2%2A%28pi%2Ax%5E2%29%2F2=pi%2Ax%5E2


So the total area of the white semicircles are A=pi%2Ax%5E2

------------------------------

Now let's find the area of the square:

The length and the width is 2x. So the area is A=length%2Awidth=%282x%29%282x%29=4x%5E2

------------------------------

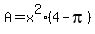
Now subtract the area of the circles semicircles from the area from the square

4x%5E2-pi%2Ax%5E2


x%5E2%284-pi%29 Factor out the common term x%5E2


------------------------------------
Answer:

So the total area of the shaded region is


A=x%5E2%284-pi%29