Question 1158733: Given circle A with the equation (x+2)^2+y^2=5
a)show that the circle passes through point (0,1)
b)state the coordinate of two other points that lie on the circle
c)write equation of circle A’; the image of circle A after a translation of 3 units to the right and 1 unit up
d)If circle A is the base of a right circular cylinder with a height of 10, find the volume of the cylinder to the nearest tenth.
https://docs.google.com/document/d/140wt6R6O8qIPOvtNwDzxksQUaAwIwTow__7Rgf3nKio/edit
Thank you very much!
Found 3 solutions by josgarithmetic, Edwin McCravy, MathLover1: Answer by josgarithmetic(39620) (Show Source):
You can put this solution on YOUR website! -----------------------------------------------
Given circle A with the equation (x+2)^2+y^2=5
-----------------------------------------------
-----------------------------------------------
a)show that the circle passes through point (0,1)
----------------------------------------------
Make the substitution, x is 0, y is 1, and find if it makes the equation true or false.
-----------------------------------------------------------------
b)state the coordinate of two other points that lie on the circle
------------------------------------------------------------------
Pick a value for one variable and solve for the other variable. You can find as many points as you want.
Answer by Edwin McCravy(20060) (Show Source): Answer by MathLover1(20850) (Show Source):
You can put this solution on YOUR website! Given circle A with the equation
a) show that the circle passes through point ( , )
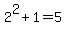
plug in the coordinates of the given point


->true
so, the circle passes through point ( , )
b) state the coordinate of two other points that lie on the circle
compare to
=> and => the center is at point ( , )
find when
->point ( , )
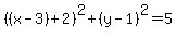
c) write equation of circle A’; the image of circle A after a translation of units to the right and unit up
The center of the given circle is at the ( , ). The translated center will be shifted units to the right and units up, placing it at (1,1). The circle has a radius of . The equation will be:
d)If circle A is the base of a right circular cylinder with a height of , find the volume of the cylinder to the nearest tenth.
...... ,


|
|
|