SOLUTION: Three circles of radius two cm overlap so that each passes through the Center of the other two. (Basically a triple Venn diagram.) What is the area of the region that would

Algebra ->  Circles -> SOLUTION: Three circles of radius two cm overlap so that each passes through the Center of the other two. (Basically a triple Venn diagram.) What is the area of the region that would       Log On


   



Question 1133723: Three circles of radius two cm overlap so that each passes through the Center of the other two. (Basically a triple Venn diagram.) What is the area of the region that would be in the middle, in cm^2?
Found 2 solutions by MathLover1, greenestamps:
Answer by MathLover1(20850) About Me  (Show Source):
You can put this solution on YOUR website!

Image and video hosting by TinyPic

Since AB, AC and BC are all radii, so they are all equal, so ABC is an equilateral triangles and all the angles are 60 degrees.
area of triangle ABC=%281%2F2%29ab%2Asin%2860%29........a=r,+b=r
ABC=%281%2F2%29r%5E2%2A%28sqrt%283%29%2F2%29
ABC=%28r%5E2%2Asqrt%283%29%29%2F4

Now I want to know what the area of minor segment+AB is on the circle centered at C:
segment area=+%2860%2F360%29%2Ar%5E2%2Api+-%28r%5E2%2Asqrt%283%29%29%2F4
segment area= %282%2F12%29%2Ar%5E2%2Api+-%283r%5E2%2Asqrt%283%29%29%2F12
segment area= %282%2Ar%5E2%2Api+-3r%5E2%2Asqrt%283%29%29%2F12
=> now
shadedarea=3%2A%282%2Ar%5E2%2Api+-3r%5E2%2Asqrt%283%29%29%2F12+%2B%28r%5E2%2Asqrt%283%29%29%2F4
shadedarea=
shadedarea=%282%2Ar%5E2%2Api+-3r%5E2%2Asqrt%283%29%29%2F4+%2B%28r%5E2%2Asqrt%283%29%29%2F4
shadedarea=%282%2Ar%5E2%2Api+-3r%5E2%2Asqrt%283%29+%2Br%5E2%2Asqrt%283%29%29%2F4
shadedarea=%282%2Ar%5E2%2Api+-2r%5E2%2Asqrt%283%29%29%2F4
shadedarea=%28cross%282%29%2Ar%5E2%2Api+-cross%282%29r%5E2%2Asqrt%283%29%29%2Fcross%284%292
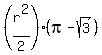
shadedarea=%28r%5E2%2Api+-r%5E2%2Asqrt%283%29%29%2F2
shadedarea=%28r%5E2%2F2%29%28pi+-sqrt%283%29%29

if r=2cm, the area of the shaded region is:
shadedarea=%28%282cm%29%5E2%2F2%29%28pi-sqrt%283%29%29
shadedarea=%284cm%5E2%2F2%29%28pi-sqrt%283%29%29
shadedarea=+2cm%5E2%28pi-sqrt%283%29%29
shadedarea=2.8190cm%5E2




Answer by greenestamps(13200) About Me  (Show Source):
You can put this solution on YOUR website!


Draw a sketch of the three intersecting circles, then inscribe an equilateral triangle in the region whose area you are to find, using as vertices the intersection points of the circles.

The area of each of the three regions in the intersection of the three circles but outside the equilateral triangle can be viewed as the difference between one-sixth of the area of a circle (because the angles of the triangle are each 60 degrees) and the area of the equilateral triangle.

The region whose area you are to find is the equilateral triangle plus those three pieces:

Area = (area of equilateral triangle) + 3*(1/6 the area of a circle minus the area of the equilateral triangle)

Use what you know about areas of circles and equilateral triangles to find the answer.