Question 1130502: Find the equation of a circle whose center is on 2x+y=1, tangent to 3x-4y=10 and radius 5. thank you
Found 2 solutions by MathLover1, greenestamps: Answer by MathLover1(20850) (Show Source):
You can put this solution on YOUR website!
find intersection of line and tangent 
.......solve for 

---------------------
substitute in



then,

intersection point is:
P( , )
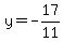
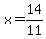
-> since center is on a line , we have
=>
so, center C ( , )=( , )
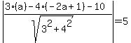
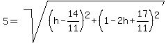
distance from and is
or

=>

or

so, we have two centers that lie on given line:
center C ( , )
and
center C ( , )
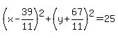
then, we have two circles:
or
Answer by greenestamps(13216) (Show Source):
|
|
|