SOLUTION: derive the equation of a circle which passes through the point(-2,1), its tangent to the line 3x-2y-6=0 at the point (4,3)

Algebra ->  Circles -> SOLUTION: derive the equation of a circle which passes through the point(-2,1), its tangent to the line 3x-2y-6=0 at the point (4,3)      Log On


   



Question 1099107: derive the equation of a circle which passes through the point(-2,1), its tangent to the line 3x-2y-6=0 at the point (4,3)
Found 2 solutions by Alan3354, Edwin McCravy:
Answer by Alan3354(69443) About Me  (Show Source):
You can put this solution on YOUR website!
derive the equation of a circle which passes through the point A(-2,1), its tangent to the line 3x-2y-6=0 at the point B(4,3)
--------------
Step 1, find the equation of the line perpendicular to the given line thru the point (4,3) --- point B
The center is on that line.
Step 2, find the perpendicular bisector of AB.
The center is on that line, too.
The center is the intersection of the 2 lines.
r is the distance from the center to either point.
==================
email via the TY note for help or to check your work.

Answer by Edwin McCravy(20083) About Me  (Show Source):
You can put this solution on YOUR website!
Here's a better way.



We set the lengths of the two green radii equal:

sqrt%28%28h-4%5E%22%22%29%5E2%2B%28k-3%5E%22%22%29%5E2%29%22%22=%22%22sqrt%28%28h-%28-2%29%5E%22%22%29%5E2%2B%28k-1%5E%22%22%29%5E2%29

That simplifies to:

3h%2Bk%22%22=%22%225

That's one equation in h and k.

To get the other equation in h and k, we use the fact that a 
tangent to a circle is perpendicular to the radius drawn to the 
point of tangency.

We find the slope of the tangent line:

3x-2y-6%22%22=%22%220
-2y%22%22=%22%22-3x%2B6
%28-2y%29%2F%28-2%29%22%22=%22%22expr%28%28-3%29%2F%28-2%29%29x%2B6%2F%28-2%29
y%22%22=%22%22expr%283%2F2%29x-3

Comparing that to y = mx+b, the tangent line has slope
3%2F2 so the radius drawn to the point of tangency
has slope -2%2F3, its "negative reciprocal".

So we use the slope formula and set its slope equal to -2%2F3

%28k-3%29%2F%28h-4%29%22%22=%22%22-2%2F3

That simplifies to:

2h%2B3k%22%22=%22%2217

So we solve this system:

system%283h%2Bk=5%2C2h%2B3k=17%29

Solve that by substitution or elimination and get

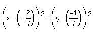
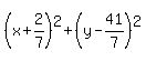
%28matrix%281%2C3%2Ch%2C%22%2C%22%2Ck%29%29%22%22=%22%22%28matrix%281%2C3%2C-2%2F7%2C%22%2C%22%2C41%2F7%29%29

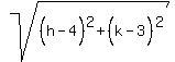
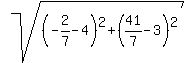
Then we find the length of the radius, using the distance
formula for the length of the radius drawn to the point 
of tangency:

sqrt%28%28h-4%5E%22%22%29%5E2%2B%28k-3%5E%22%22%29%5E2%29
sqrt%28%28-2%2F7-4%5E%22%22%29%5E2%2B%2841%2F7-3%5E%22%22%29%5E2%29

which simplifies to 10sqrt%2813%29%2F7

Substituting for the center and radius in

%28x-h%29%5E2%2B%28y-k%29%5E2%22%22=%22%22r%5E2

%2810sqrt%2813%29%2F7%29%5E2

which simplifies to:

%28x+%2B+2%2F7%29%5E2+%2B+%28y+-+41%2F7%29%5E2%22%22=%22%221300%2F49

Edwin