SOLUTION: Find the equation of the parabola whose focus is (1, –2) and directrix is the line parallel to 6x – 7y + 9 = 0 and directrix passes through point (3/2,2)

Algebra ->  Circles -> SOLUTION: Find the equation of the parabola whose focus is (1, –2) and directrix is the line parallel to 6x – 7y + 9 = 0 and directrix passes through point (3/2,2)      Log On


   



Question 1087652: Find the equation
of the parabola
whose focus is (1,
–2) and directrix is
the line parallel to
6x – 7y + 9 = 0
and directrix
passes through
point (3/2,2)

Answer by MathLover1(20850) About Me  (Show Source):
You can put this solution on YOUR website!
Solution:
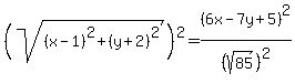
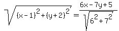
Let (x, y) be any point on the parabola. Then by definition, the distance between (x, y) and the focus (1,+-2) must be equal to the length of perpendicular from (x, y) on directrix.
So first we will find the equation of the directrix.
The line parallel to 6x+-7y+%2B+9+=+0 …… (1)
Since directrix passes through (3%2F2,2), this point will satisfy equation (1) and hence
6%283%2F2%29+-7%282%29+%2B+k+=+0
k+=+-9+%2B+14
k+=+5
Equation of directrix is 6x+-7y+%2B+5+=+0
Now by definition of parabola,
...square both sides

+85%28%28x+-+1%29%5E2+%2B+%28y+%2B+2%29%5E2%29+=+%286x+-7y+%2B+5%29%5E2
49x%5E2+%2B+36y%5E2+%2B+84xy+-230x+%2B+410y+%2B+400+=0-> your equation