SOLUTION: The lines y = 4x/3 - 5/3 and y = -4x/3 - 13/3 each contain diametres of a circle and the point (-5,0) is also on that circle. Find the equation of the circle

Algebra ->  Circles -> SOLUTION: The lines y = 4x/3 - 5/3 and y = -4x/3 - 13/3 each contain diametres of a circle and the point (-5,0) is also on that circle. Find the equation of the circle      Log On


   



Question 1087470: The lines y = 4x/3 - 5/3 and y = -4x/3 - 13/3 each contain diametres of a circle and the point (-5,0) is also on that circle. Find the equation of the circle
Answer by ikleyn(52915) About Me  (Show Source):
You can put this solution on YOUR website!
.
1.  Find the intersection point of these lines.
    It is the center of the circle.

    To find it, solve the system.


    The center is (x,y) = (-1,-3).


2. The distance from the center to the point (-5,0) is sqrt%284%5E2+%2B+3%5E2%29 = 5.


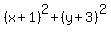
3.  The equation of the circle is 

    %28x%2B1%29%5E2+%2B+%28y%2B3%29%5E2 = 25.