Question 1068273: Find an equation(s) of the circle(s) of radius 4 with center on the line 4x + 3y + 7 = 0 and tangent to 3x + 4y + 34 = 0
Found 2 solutions by Alan3354, Fombitz: Answer by Alan3354(69443) (Show Source):
You can put this solution on YOUR website! Find an equation(s) of the circle(s) of radius 4 with center on the line 4x + 3y + 7 = 0 and tangent to 3x + 4y + 34 = 0
---------------
There are 2 circles.
Find the equations of the 2 lines parallel to 3x + 4y + 34 = 0 and 4 units from it.
3x + 4y + 34 = 0
y = (-3/4)x - 17/2
Slope m of 3x + 4y + 34 = 0 is -3/4.
Difference in y-ints = 4/(cos(atan(-3/4)) = 5
-------------
--> the 2 parallel lines are:
y = (-3/4)x - 17/2 + 5 = (-3/4)x - 7/2
and y = (-3/4)x - 17/2 - 5 = (-3/4)x - 27/2
----------
The intersection of those 2 lines and 4x + 3y + 7 = 0 are the 2 centers of the circles, (h,k).
---
4x + 3y + 7 = 0
y = (-3/4)x - 7/2
4x -9x/4 - 21/2 = -7
7x/4 = 7/2
x = 2, y = -5
--> 
===============================
Find the other circle the same way.
===============
email via the TY note for help or to check your work.
Answer by Fombitz(32388) (Show Source):
You can put this solution on YOUR website! Find the line perpendicular to the tangent line that goes through the circle center.



Perpendicular lines have slopes that are negative reciprocals.


Let the circle center be located at (h,k) and let the intersection point of the tangent line and the perpendicular line be (a,b).
.
.
.
.
.
So you know that,
1.
2.
The perpendicular line goes through both (h,k) and (a,b) so,
3.
and from the distance formula,

4.
.
.
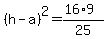
Substitute 3 into 4,




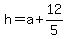
First case,

So then going back through the equations and substituting for h,
5. 
.
.



6.
.
.

7.
You have three equations, three unknowns, using Cramer's rule,



and then,



So the first circle is,

and
Second case,

Again substituting as needed for h,
8. 
.
.


9.
.
.

10.
Again you have three equations, three unknowns, using Cramer's rule,



and then,



So the second circle is,

.
.
.
.
|
|
|