SOLUTION: find the radius and centre of a circle with equation 3x^2+3y^2+6x-5y+2=0

Algebra ->  Circles -> SOLUTION: find the radius and centre of a circle with equation 3x^2+3y^2+6x-5y+2=0      Log On


   



Question 1051880: find the radius and centre of a circle with equation 3x^2+3y^2+6x-5y+2=0
Answer by Edwin McCravy(20059) About Me  (Show Source):
You can put this solution on YOUR website!

3x%5E2%2B3y%5E2%2B6x-5y%2B2%22%22=%22%220

3x%5E2%2B6x%2B3y%5E2-5y%22%22=%22%22-2

x%5E2%2B2x%2By%5E2-expr%285%2F3%29y%22%22=%22%22-2%2F3

%28x%5E2%2B2x%29%2B%28y%5E2-expr%285%2F3%29y%29%22%22=%22%22-2%2F3

Complete the square in the first parentheses by
adding %22%22=%22%22-2%2B1%2B25%2F36

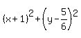
%28x%2B1%29%5E2%2B%28y-5%2F6%29%5E2%22%22=%22%2237%2F36

Compare to

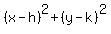
%28x-h%29%5E2%2B%28y-k%29%5E2%22%22=%22%22r%5E2

-h=%22%22+%2B+1, -k=-5%2F6%29%2C++%7B%7B%7Br%5E2=37%2F36
h=-1, k=5%2F6, r=sqrt%2837%29%2F6

center = (h,k) = %28matrix%281%2C3%2C-1%2C%22%2C%22%2C5%2F6%29%29
radius = r = sqrt%2837%29%2F6

Edwin