SOLUTION: Find the equation of the circle(s) touching both coordinate axes with radius 5(There are four). Draw a sketch of the graph .

Algebra ->  Circles -> SOLUTION: Find the equation of the circle(s) touching both coordinate axes with radius 5(There are four). Draw a sketch of the graph .       Log On


   



Question 1049698: Find the equation of the circle(s) touching both coordinate axes with radius 5(There are four).
Draw a sketch of the graph .

Found 3 solutions by josgarithmetic, advanced_Learner, ikleyn:
Answer by josgarithmetic(39630) About Me  (Show Source):
You can put this solution on YOUR website!
Picture this in your head, or make a sketch on cartesian graph paper. The statement, "There are four", seems unnecessary and I would say, you can pick any of the four possible circles that you want.

Try putting the circle with center in quadrant 1.
Center should be at (5,5) and equation is %28x-5%29%5E2%2B%28y-5%29=5%5E2.

Answer by advanced_Learner(501) About Me  (Show Source):
You can put this solution on YOUR website!
if radius is 5 then the four possible circles that touch both axes are

x%5E2%2B5+y%5E2%2B5=25
x%5E2-5+y%5E2-5=25

x%5E2%2B5+y%5E2-5=25


x%5E2-5+y%5E2%2B5=25

Answer by ikleyn(52908) About Me  (Show Source):
You can put this solution on YOUR website!
.
%28x-5%29%5E2+%2B+%28y-5%29%5E2 = 5%5E2,   (1)   (quadrant I)

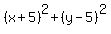
%28x%2B5%29%5E2+%2B+%28y-5%29%5E2 = 5%5E2,   (2)   (quadrant II)

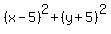
%28x%2B5%29%5E2+%2B+%28y%2B5%29%5E2 = 5%5E2,   (3)   (quadrant III)

%28x-5%29%5E2+%2B+%28y%2B5%29%5E2 = 5%5E2,   (1)   (quadrant IV)