SOLUTION: Find the ratio of the area of the smaller circle to the area of the larger circle. Picture: Circle inscribed in a square inscribed in a bigger circle.

Algebra ->  Circles -> SOLUTION: Find the ratio of the area of the smaller circle to the area of the larger circle. Picture: Circle inscribed in a square inscribed in a bigger circle.      Log On


   



Question 1033235: Find the ratio of the area of the smaller circle to the area of the larger circle.
Picture: Circle inscribed in a square inscribed in a bigger circle.

Answer by Fombitz(32388) About Me  (Show Source):
You can put this solution on YOUR website!
.
.
.
.
From the diagram,
R%5B1%5D=S%2F2
and
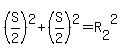
%28S%2F2%29%5E2%2B%28S%2F2%29%5E2=R%5B2%5D%5E2
S%5E2%2F4%2BS%5E2%2F4=R%5B2%5D%5E2
S%5E2%2F2=R%5B2%5D%5E2
.
.
.
In terms of area,
A%5B1%5D=pi%2AR%5B1%5D%5E2
A%5B1%5D=pi%2A%28S%2F2%29%5E2
A%5B1%5D=pi%2A%28S%5E2%2F4%29
A%5B1%5D=%28pi%2F4%29S%5E2
.
.
A%5B2%5D=pi%2AR%5B2%5D%5E2
A%5B2%5D=pi%2A%28S%5E2%2F2%29
A%5B2%5D=%28pi%2F2%29S%5E2
So then,
A%5B2%5D=2A%5B1%5D
A%5B2%5D%2FA%5B1%5D=2
highlight%28A%5B1%5D%2FA%5B2%5D=1%2F2%29