
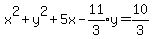
We need to get it in the form
so we'll
know it has center (h,k) and radius r.
First we add 10 to both sides to get the constant off the left side:
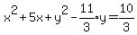
Next we divide through by the common coefficient of x² and y² which
is 3
Swap the 2nd and 3rd terms to get the terms in like letters together:
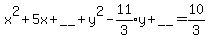
Put the addition of one blank after the 5x and another after the
since we are going to add something to both sides
Next we calculate what goes in the first blank:
1. Multiply the coefficient of x, which is 5, by
}, getting
2. Square that value:
, so
is what goes
in the first blank, and we also add it to the right side:
Next we calculate what goes in the second blank:
1. Multiply the coefficient of y, which is
, by
}, getting
2. Square that value:
, so
is
what goes in the second blank, and we also add it to the right side:
The first three terms on the left
factors as
or
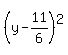
The last three terms on the left
factors as
or
The right side
becomes
So we now have:
And we compare that to
and we see that since
,
, and
since
,
. Also
so
If you like you can rationalize
Edwin