SOLUTION: the area enclosed by the curve y=ax(1-x) (a>zero) and x-axis is divided into two equal parts by the curve y=x^2 find the value of a

Algebra ->  Statistics  -> Normal-probability -> SOLUTION: the area enclosed by the curve y=ax(1-x) (a>zero) and x-axis is divided into two equal parts by the curve y=x^2 find the value of a       Log On


   



Question 1083342: the area enclosed by the curve y=ax(1-x) (a>zero) and x-axis is divided into two equal parts by the curve y=x^2
find the value of a

Answer by htmentor(1343) About Me  (Show Source):
You can put this solution on YOUR website!
The function y = ax - ax^2 intersects the x-axis at the points 0 and 1, regardless of the value of a.
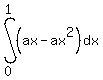
The area enclosed by this curve and the x-axis is given by: int%28%28ax-ax%5E2%29%2C+dx%2C+0%2C1%29%29. Let us call this area A1.
The curve y = x^2 divides this area into two parts
The area of the second part is the sum of int%28+x%5E2%2C+dx%2C+0%2C+c+%29 and int%28%28ax-ax%5E2%29%2C+dx%2C+c%2C1%29%29,
where c is the intersection point of the two curves. Let's call this area A2.
So we need to find the value of a for which A1 - A2 = A2, or A1 = 2A2.
The intersection point, c, of the two curves is ax - ax^2 = x^2 -> x = a/(a+1)
Performing all the integrations and simplifying, you should be left with the following equation:
a^2 - 2a - 1 = 0
This has solutions a = -0.4142 and a = 2.4142. Since a>0, we take the positive solution, a = 2.4142
The exact value for a is a = 1 + sqrt(2) (Check for yourself)