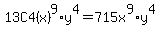
determine the coefficient of x^9 y^4 in the binomial expansion of (x + y)^13 power
In the BINOMIAL EXPANSION of
, x9y9 occurs at the term where: 
As such, 9 = 13 - (r - 1) OR 4 = r - 1
9 = 13 - r + 1 5 = r
9 - 14 = - r
- 5 = - r
5 = r
With the coefficients on x and y in
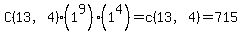
being 1, the coefficient on the 5th term, when expanded, will be the value in the 5th COLUMN of the 13th ROW of Pascal’s triangle, which is 
OR
With the coefficient on x and y being 1, the coefficient on the 5th term will be: 
FYI: The entire EXPANSION DOESN'T HAVE to be done, as one person decided to do!
What if
was the 24th or 25th term of the expansion? Do you think it'd be wise to do the entire expansion? Think about it!