SOLUTION: angle PQR = angle PSQ = 90° |PS| =9cm, |SR| =16cm. calculate the value of SQ and and angle QRS.

Algebra ->  Statistics  -> Binomial-probability -> SOLUTION: angle PQR = angle PSQ = 90° |PS| =9cm, |SR| =16cm. calculate the value of SQ and and angle QRS.       Log On


   



Question 1132346: angle PQR = angle PSQ = 90° |PS| =9cm, |SR| =16cm. calculate the value of SQ and and angle QRS.

Answer by MathLover1(20850) About Me  (Show Source):
You can put this solution on YOUR website!

Image and video hosting by TinyPic

if PSQ+=+90°, than RSQ=90°
=> triangle PSR+is similar to triangle RSQ, corresponding sides are proportional
=> side SR=+16cm is common side
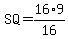
=>+SR%2FPS=SR%2FSQ
=> 16%2F9=16%2FSQ
=> 16SQ=16%2A9
=> SQ=16%2A9%2F16
=> SQ=9cm
then angle QRS is:
tan%28QRS%29=SQ%2FSR=9%2F16=0.5625
angle QRS=tan%5E-1%280.5625%29=29.36°