You can put this solution on YOUR website! Please help...
Find the coefficient of the given term in the binomial expansion
x^11y^3 term, (x+y)^14
Thank you.
First of all, it’ll have to be determined what TERM number produces .
Since the exponent on the binomial is 14, it follows that there will be 15 (FIFTEEN) terms, and the term number containing will be the 15th – 11th term, or the 4th term.
To find a specific term in a BINOMIAL EXPANSION, we use the following formula: , where r = term number
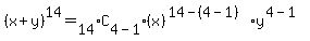
As seen above, the 4th term of the sequence will have the following coefficient on x: . This results in:
You could also check PASCAL’S triangle and look for the coefficient for the 4th term of a BINOMIAL EXPANSION with a binomial that’s being raised to the 14th power.
This is 364.