YOUR ANSWER
- Graphical form:
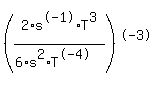
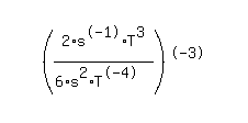
simplifies to  - Text form: (2*s^-1*T^3/(6*s^2*T^-4))^-3 simplifies to 1/(T^(7)/s^3/3)^3
- Cartoon (animation) form:
For tutors: simplify_cartoon( (2*s^-1*T^3/(6*s^2*T^-4))^-3 )
- If you have a website, here's a link to this solution.
|
DETAILED EXPLANATION
Look at . Remove unneeded parentheses around factor , , It becomes .
Look at . Factors 2 and 6 have greatest common factor (GCF) of 2. Reducing fraction. It becomes .
Look at . Reduce similar several occurrences of to  It becomes .
Look at . Reduce similar several occurrences of to  It becomes .
Look at . Removed extra sign in front of  It becomes .
Look at . Removed extra sign in front of  It becomes .
Look at . Remove extraneous '1' from product  It becomes .
Look at . Added fractions or integers together It becomes .
Look at . Added fractions or integers together It becomes .
Look at . Removed extra sign in front of  It becomes .
Look at . Negative power changes multiplication to division It becomes .
Look at . Negative power changes multiplication to division It becomes .
Look at . Remove extraneous '1' from product  It becomes . Result: 
Universal Simplifier and Solver
|
|
Welcome to Graphical Universal Mathematical Expression Simplifier and Algebra Solver (GUMESS).
It solves most middle school algebra equations and simplifies expressions, and it SHOWS ALL WORK. It is free to use. Enter expression to be simplified, or equation to be solved.
I will figure out if what you typed is an equation.
|
You must use the "*" (star) symbol for all multiplications!
x(x+1) is WRONG! It means a function x of
x-1. x*(x-1) is right. Use the ^ (caret) for
exponentiation. x^2 means x squared. x/2y means
Resources: Simplifier Portal,
help with entering simplifier formulas (a must read).
Or, click on any of these examples: 
, 
, 
, 
, 
, 
, 
, 
, 
, 
, 
, 
, 
, 
, 
, 
, 
, 
, 
, 
, 
, 
, 
, 
, 
, 
, 
, 
, 
, 
, 
, 
, 
, 
, 
, 
, 
, 
, 
, 
, 
, 
, 
, 
, 
, 
, 
, 
, 
, 
, 
, 
. Please write to Igor Chudov, ichudov @ algebra.com , with
questions or suggestions.
Algebra.Com's Home Page.
This simplifier has been used 37270479 times.
|