Question 981021: Please help me with this problem: given the distance between (x,1) and (-2,5) is 2 sqrt (7) find the value of x.
Found 2 solutions by Fombitz, MathLover1: Answer by Fombitz(32388) (Show Source): Answer by MathLover1(20850) (Show Source):
You can put this solution on YOUR website! The first point is ( , ). The second point is ( , ).
Since the first point is ( , ), we can say ( , ) = ( , )
So ,
Since the second point is ( , ), we can also say ( , ) = ( , )
So , .
Now use the distance formula:
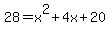
since given , , , , and , substitute these values
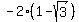
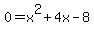
.......square both sides
...........use quadratic formula
solutions:

or

so, the first point is ( , ) could be:
( , )
or
( , )
|
|
|